Select the most appropriate option to fill in the blank : The children's Series .......... recommended for young readers.
.
निर्देश: अधोलिखितान् श्लोकान् पठित्वा तदाधारितप्रश्नानां (प्रश्नसंख्या 147-152) विकल्पात्मकोत्तरेभ्य: उचिततमम् उत्तरं चिनुत। शान्तितुल्यं तपो नास्ति न सन्तोषात्परं सुखम्। न तृष्णाया: परो व्याधिर्न च धर्मो दयापर: ।।1।। दृष्टिपूतं न्यसेत्पादं वस्त्रपूतं जलं पिबेत्। शास्त्रपूतं वदेद् वाक्यं मन:पूतं समाचरेत् ।। 2।। तावद् भयाद्धि भेतव्यं यावद् भयमनागतम्। आगतं तु भयं दृष्ट्रवा नर: कुर्याद् यथोचितम् ।।3।। माता शत्रु: पिता वैरी येन बालो न पाठित:। न शोभते सभामध्ये हंसमध्ये बको यथा ।।4।। रूपयौवनसम्पन्ना विशालकुलसम्भवा:। विद्याहीना न शोभन्ते निर्गन्धा इव किशुका: ।।5।।कीदृशं जलं पिबेत्?
What is the name of Tesla humanoid robot launched in October 2022? अक्टूबर 2022 में लॉन्च किए गए टेस्ला ह्यूमनॉइड रोबोट का क्या नाम है?
Which Act provided constitutional status to the Panchayati Raj institutions?
नीले रंग के आयताकारों का प्रयोग सड़क परिवहन में किसके लिए किया जाता है?
Which of the following is the correct inglis's formula to compute flood discharge (Q) for small catchment areas./ छोटे अपवाह क्षेत्रों के लिए बाढ़ निस्सरण (Q) की गणना करने के लिए निम्नलिखित में से कौन सा इंगलिश (inglis's) का सही सूत्र है।
एक निश्चित कूट भाषा में, ‘SHOUT’ को ‘VLTAA’ लिखा जाता है और ‘TOTAL’ को WSYGS’ लिखा जाता है। उसी कूट भाषा में ‘WHITE’ को किस प्रकार लिखा जाएगा?
Glucose is converted to ethyl alcohol by the enzym/ग्लूकोज को एथिल अल्कोहल में किस एंजाइम द्वारा बदल दिया जाता है?
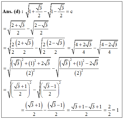
Explanations:
Download our app to know more Lorem ipsum dolor sit amet consectetur adipisicing elit. Excepturi, esse.
Unlocking possibilities: Login required for a world of personalized experiences.