In universal indicators a pH of 7 is shown with
भारत का पहला AI प्लस कैंपस किस स्थान पर शुरू किया जाएगा?
Which of the following groups of minerals is belonging to non-metallic category? निम्नलिखित में से खनिजों का कौन-सा समूह गैर-धात्विक श्रेणी से संबंधित है?
What does GNP stand for?
समवर्ती सूची में किसी विषय पर केन्द्र एवं राज्य के बीच कानून में द्वन्द्व होने की स्थिति में –
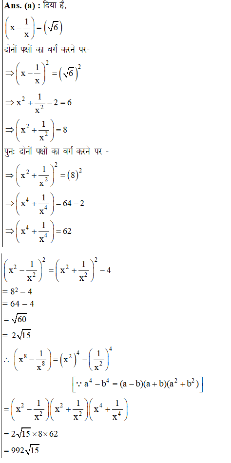
.
निम्नलिखित विकल्पों में से वह शब्द चुनिए जो दिए गए शब्दों के अक्षरों का प्रयोग करके नहीं बनाया जा सकता। TRANSFORMED
Meridian joining earth's true north and south is called
If the 8-digit number 2074x4y2 is divisible by 88, then the value of (4x + 3y) is :
केंद्रीय रेल मंत्री अश्विनी वैष्णव ने हाल ही में किस प्रमुख रेलवे प्रदर्शनी का उद्घाटन किया?
Explanations:
Download our app to know more Lorem ipsum dolor sit amet consectetur adipisicing elit. Excepturi, esse.
Unlocking possibilities: Login required for a world of personalized experiences.