शहर U में व्यक्तियों की कुल संख्या, सभी शहरों में कुल मिलाकर व्यक्तियों की कुल संख्या का लगभग कितना प्रतिशत है?
हाल ही में भारत ने किस मिसाइल का रेल-आधारित मोबाइल लांचर से सफल परीक्षण किया?
.
राजू खरगोश से डरता था। शुरू में खरगोश को राजू से काफी दूर रखा गया। आने वाले दिनों में हर रोज खरगोश और राजू के बीच की दूरी कम कर दी गई। अन्त में राजू की गोद में खरगोश को रखा गया और राजू खरगोश से खेलने लगा। यह प्रयोग उदाहरण है
प्राय: वाइस के हैंडल की लम्बाई होती है –
What is the recommended value of camber as per IRC for 'thin bituminous surface' in heavy rainfall area? IRC के अनुसार भारी वर्षा वाले क्षेत्र में पतली बिटुमिनस सतह के लिए कैम्बर का अनुशंसित मान क्या है?
28 cm भुजा वाले समचतुर्भुज का एक कोण 60⁰ है। बड़े विकर्ण की लंबाई ज्ञात करें।
निम्न में से विषम का चयन कीजिए : Si, P, Ge, और As
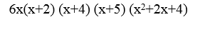
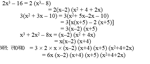
Explanations:
Download our app to know more Lorem ipsum dolor sit amet consectetur adipisicing elit. Excepturi, esse.
Unlocking possibilities: Login required for a world of personalized experiences.