Which of the following is the MS-PowerPoint 365 keyboard shortcut used for creating a new presentation? नई प्रेजेंटेशन बनाने के लिए निम्नलिखित में से कौन-सा एम.एस. पॉवरप्वाइंट 365 (MS-Power Point 365) कीबोर्ड शॉर्टकट उपयोग किया जाता है?
.
हाल ही में चेन्नई ओपन टेनिस टूर्नामेंट का एकल ख़िताब किसने जीता?
Vigyan Dham in Uttarakhand is situated at उत्तराखण्ड में विज्ञान धाम स्थित है:
एक पंक्ति में 47 गाड़ियां हैं। काली गाड़ी दायीं छोर से 18वीं है तथा सफ़ेद गाड़ी दायीं छोर से 39वीं है। काली तथा सफ़ेद गाड़ी के मध्य कितनी गाड़िया हैं?
As observed from the top of a lighthouse, 45m high above the sea-level, the angle of depression of a ship, sailing directly towards it, changes from 30⁰ to 45⁰. The distance travelled by the ship during the period of observation is: (Your answer should be correct to one decimal place.)
Choose the word that is opposite in meaning to the given word. Apathetic
दृष्टि की खराबी ‘निकट दृष्टि’ को..............के नाम से जाना जाता है?
निम्नलिखित में से कौन सी पंचायती राज व्यवस्था की विशेषताएँ नहीं हैं?
Which of the following views of MS word shows the text as it appears in printed format without the headers and footers? निम्नलिखित में से माइक्रोसॉफ्ट वर्ड का कौन सा व्यू, टेक्स्ट दिखता है, जैसे यह हेडर और फूटर के बिना प्रिंटेड फॉर्मेट में दिखाई देता है?
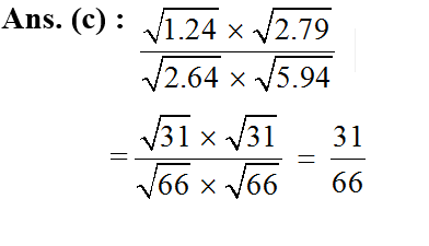
Explanations:
Download our app to know more Lorem ipsum dolor sit amet consectetur adipisicing elit. Excepturi, esse.
Unlocking possibilities: Login required for a world of personalized experiences.