.
Select the most appropriate synonym of the given word. Detract
The antibacterial enzyme present in saliva is लाट में मौजूद कीटाणुरोधी किण्वक
What is the synonym of the word-‘strange’ as used in the passage?
The maximum amount of dust which may be permitted in aggregates is
प्रधानमंत्री नरेंद्र मोदी ने किस राज्य में पीएम मित्र पार्क का उद्घाटन किया है?
20 दिनों में मिनटों की संख्या, निम्न में से किसके सेकंडों की संख्या के बराबर है ?
हाल ही में किसे रक्षा लेखा महानियंत्रक के रूप में नियुक्त किया गया है?
..............के मामले में विदेशी मुद्रा की भौतिक सुपुर्दगी होनी चाहिए।
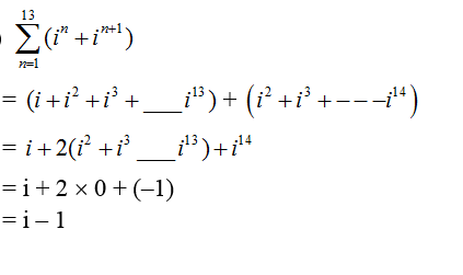
Explanations:
Download our app to know more Lorem ipsum dolor sit amet consectetur adipisicing elit. Excepturi, esse.
Unlocking possibilities: Login required for a world of personalized experiences.