मेघालय सरकार ने फुटबॉल और पर्यटन को बढ़ावा देने के लिए किस फुटबॉल क्लब के साथ तीन साल का MOU किया है?
इंडियन स्टील एसोसिएशन के अध्यक्ष के रूप में किसने पदभार ग्रहण किया है?
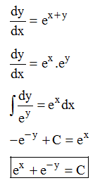
.
Find the part of the given sentence that has an error in it. If there is no error, choose ‘No error’. The presence of little (1)/ microbes is not (2)/ necessarily a bad thing (3)/. No error (4)
If a 3-digit number 42a is divisible by 9, then the value of digit 'a' is:
What is the function of WinZip? विनज़िप (WinZip) का क्या कार्य है?
हैडलाइट डिपर या डिमर परिपथ में ट्रांजिस्टर को निम्न में से किस रूप में प्रयोग किया जाता है?
A concrete of M60 grade obtains a cube strength of 80 MPa. If the cube strength is to be considered as the characteristic strength, then the modulus of elasticity (N/mm2) shall be approximately equal to (answer to the nearest thousand value):
Explanations:
Download our app to know more Lorem ipsum dolor sit amet consectetur adipisicing elit. Excepturi, esse.
Unlocking possibilities: Login required for a world of personalized experiences.