‘‘यह अधिकतर कटिंग डाइयों में प्रयोग की जाती है इसके द्वारा शीट को नियत स्थान के लिए गाइड किया जाता है।’’ दिया गया कथन में से किस पिन से सम्बन्धित है?
निम्नलिखित में सृजनशीलता का प्रमुख तत्व क्या नहीं है?
रघु और बाबू जुड़वां हैं। बाबू की बहन रीमा है। रीमा के पति राजन हैं। रघु की माता लक्ष्मी के पति राजेश हैं। राजेश, राजन से किस प्रकार संबंधित है?
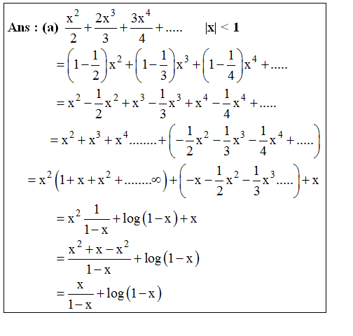
.
शक्तियों और उत्तरदायित्व को लेकर पंचायतों से संबंधित कौन से कथन सत्य हैं? (1) आर्थिक विकास योजना एवं सामाजिक न्याय योजना तैयार करना। (2) संविधान की 11वीं अनुसूची में दिये गये 29 विषयों के संबंध में आर्थिक विकास एवं सामाजिक न्याय की योजनाओं का कार्यान्वयन (3) उचित कर, शुल्क, टोल और शुल्क लगाना और एकत्र करना।
बाल विकास के क्षेत्र में हाल ही के सिद्धान्त यह सुझावित करते हैं कि विकास प्रभावित होता है (i) आनुवंशिकता से (ii) शिक्षा से (iii) संस्कृति से (iv) सामाजिक नीतियों से
Which one of the following cannot be the ground for proclamation of Emergency under the Constitution of India?
World Water Day is annually celebrated on __. विश्व जल दिवस कब मनाया जाता है?
पीएम मोदी को 'मित्र विभूषण' अवॉर्ड किस देश के राष्ट्रपति ने प्रदान किया?
Explanations:
Download our app to know more Lorem ipsum dolor sit amet consectetur adipisicing elit. Excepturi, esse.
Unlocking possibilities: Login required for a world of personalized experiences.