The famous physician Jeevaka was appointed by the court of: प्रसिद्ध चिकित्सक जीवक की नियुक्ति किसके दरबार में की गई थी?
हाल ही में, भारतीय रिजर्व बैंक ने किस पर 15 करोड़ रुपये का जुर्माना लगाया है?
उत्तराखण्ड की प्रथम महिला पर्वतारोही कौन थी-
.
If the time taken in the upstream is equal to 'n' time taken in the downstream and the speed in the still water is 'x' and the speed of stream is 'y' then find the value of x : y.
Anup can row 33 km downstream and 35 km upstream in 8 hours. He can also row 44 km downstream and 28 km upstream in the same time. How much time (in hours) will he take to row 55 km downstream and 14 km upstream?
In terms of Digital Certificate, SSL stands for? डिजिटल सर्टिफिकेट के परिपेक्ष्य में एएथ् का क्या अर्थ है?
निम्नलिखित में से कौन सा एक उत्तर प्रदेश का लोकनृत्य है?
What is the approximate composition of silicon dioxide (SiO₂) present in ordinary Portland cement ? साधारण पोर्टलैण्ड सीमेंट में मौजूद सिलिकॉन डाइ-ऑक्साइड (SiO₂) की लगभग मात्रा कितनी होती है ?
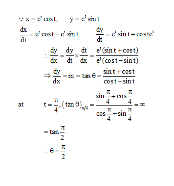
Explanations:
Download our app to know more Lorem ipsum dolor sit amet consectetur adipisicing elit. Excepturi, esse.
Unlocking possibilities: Login required for a world of personalized experiences.