निम्नलिखित में से किन वाहनों को BSVI और BSIV अनुपालन से छूट प्राप्त है?
बुद्धिनाशात्प्रणश्यति:- किस ग्रन्थ का सन्दर्भ है
An amendment of the constitution may be initiated............./संविधान में संशोधन की कार्यवाही आरंभ की जा सकती है............
The total length of bar having hook at both the ends is :
निम्नलिखित में से किस राज्य में कृषि भूमि 60 प्रतिशत से कम है?
`6,250 की धनराशि पर 12% वार्षिक साधारण ब्याज की दर से 3 वर्ष में प्राप्त होने वाला ब्याज ज्ञात कीजिए।
विश्व उपभोक्ता अधिकार दिवस प्रतिवर्ष कब मनाया जाता है?
Who among the following is credited with deep-rooting of democracy in India? इनमें से किसे भारत में लोकतंत्र को गहरा करने का श्रेय दिया जाता है?
.
What is the full form of DNS ? DNS का फुल फॉर्म क्या है ?
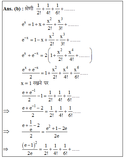
Explanations:
Download our app to know more Lorem ipsum dolor sit amet consectetur adipisicing elit. Excepturi, esse.
Unlocking possibilities: Login required for a world of personalized experiences.