Narayan graduated from:
उत्तर प्रदेश राज्य में ‘टिहरी बाँध परियोजना’ किस देश के सहयोग से पूरी की जाएगी-
Which Article of the constitution of India provides that "the state shall provide free and compulsory education to all children of the age of six to fourteen years"?
‘सौम्य’ शब्द का विलोम है-
उस संख्या का चयन कीजिए, जो निम्नलिखित श्रेणी में प्रश्न चिह्न (?) के स्थान पर आएगी। 7, 18, 34, 72, 142, ?
Select the most appropriate synonym of the highlighted word He is inclined to stay with the present organisation.
निम्नलिखित में से किस संवैधानिक संशोधन द्वारा पांडिचेरी (अब पुदुचेरी) को केन्द्र शासित प्रदेश बनाया।
What was/were the object/objects of Queen Victoria’s Proclamation (1858)??/महारानी विक्टोरिया की उद्घोषणा (1858) का उद्देश्य क्या था? 1. To disclaim any intention to annex Indian State भारतीय राज्यों को ब्रिटिश साम्राज्य में मिलाने के किसी भी विचार का परित्याग करना 2. To place of Indian administration under the British Crown. भारतीय प्रशासन को ब्रिटिश क्राउन के अन्तर्गत रखना 3. To regulate East India Company’s trade with India./भारत के साथ ईस्ट इंडिया कम्पनी के व्यापार का नियमन करना Select the correct answer using the code given below: नीचे दिए गए कूट का प्रयोग कर सही उत्तर चुनिए।
Which branch of botany is concered with the study of photosynthesis? प्रकाश-संश्लेषण के अध्ययन से संबंधित वनस्पति-विज्ञान की शाखा है
एक छड़ चुंबक को एक नियत चुंबकीय क्षेत्र के स्त्रोत के रूप में प्रयोग करने पर चुबंकीय क्षेत्र की दिशा निम्नलिखित में से किस प्रकार की होगी?
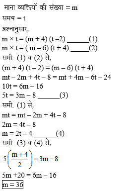
Explanations:
Download our app to know more Lorem ipsum dolor sit amet consectetur adipisicing elit. Excepturi, esse.
Unlocking possibilities: Login required for a world of personalized experiences.