The Panchayati Raj Institutions do not exist in which of the following states as on June 2022?
Internet is the best example of :
Which two numbers should be interchanged to make the given equation correct? 15 – 24 + 63 ÷ 7 x 2 = 9
उस सही विकल्प का चयन करें, जो दिए गए शब्दों के तार्किक और सार्थक क्रम को दर्शाता है। 1. पौधा 2. अंकुरण 3. बीज 4. फल 5. फूल
निम्न कथनों पर विचार कीजिए और दिए गए कूट की सहायता से बताइये कि इनमें से कौन सही है? 1. संविधान में ``यूनियन ऑफ स्टेट्स'' शब्द प्रयुक्त हुआ है, क्योंकि भारतीय राज्यों को अलग होने का अधिकार नहीं है। 2. एस.के. धर आयोग ने राज्यों के पुनर्गठन हेतु भाषा के आधार की अपेक्षा प्रशासनिक सुविधा को वरीयता दी थी। 3. पंडित नेहरू, सरदार पटेल और पट्टाभि सीतारमैया की अध्यक्षता में कांग्रेस कमेटी, राज्यों के पुनर्गठन में भाषाई आधार के पक्ष में नहीं थी। कूट :
इनमें से किसे मलेरिया के संचरण संबंधी शोध के लिए नोबेल पुरस्कार से सम्मानित किया गया है?
28 जुलाई 2025 को सिक्किम में किस विशेष पर्व के कारण सभी बैंक बंद रहे?
निम्न में से कौन-से वंश ने भारत के दक्षिण भाग पर शासन नहीं किया है?
उत्तर प्रदेश के किस शहर को ‘पूर्व का ग्रास’ के नाम से जाना जाता है?
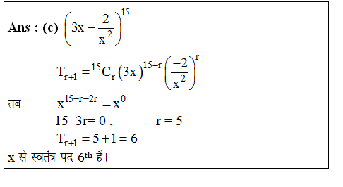
.
Explanations:
Download our app to know more Lorem ipsum dolor sit amet consectetur adipisicing elit. Excepturi, esse.
Unlocking possibilities: Login required for a world of personalized experiences.