Which of the following is not a set of language skills?
यदि निम्नलिखित संख्याओं को बढ़ते क्रम में लगाया जाये, तो दूसरी संख्या का अंतिम अंक क्या होगा? 394, 287, 512, 463, 958
Article 371A of the Indian Constitution mentions special provisions for which of the following states?
Where on Earth are insects not found ?
Which of the following awards is conferred for contribution to the development and promotion of Mallakhamba? मल्लखम्भ के विकास एवं संवर्धन में योगदान देने के लिए निम्नांकित में से कौन सा पुरस्कार दिया जाता है?
The primary function of the finance commission in India is to भारत में वित्त आयोग का प्राथमिक कार्य है।
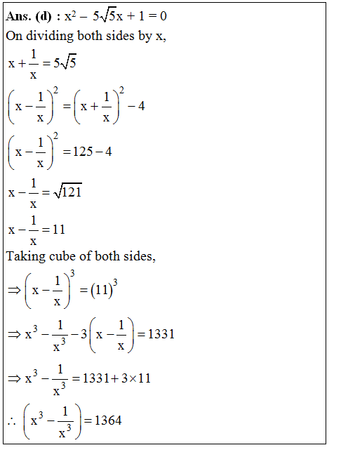
.
कूट को पूरा करों- CD : GA : : PQ : ?
Directions (23–24) : Choose the option which best expresses the meaning of each underlined idiom/ phrase. Ram is one person who can put two and two together.
एक्स-रे का आविष्कार किसने किया?
Explanations:
Download our app to know more Lorem ipsum dolor sit amet consectetur adipisicing elit. Excepturi, esse.
Unlocking possibilities: Login required for a world of personalized experiences.