What will be the distance between these two bodies, if attraction force between two bodies is 1/9 F?
अजन्ता में क्यूरेटर की नियुक्ति हुई
The SI unit of work is/कार्य की SI इकाई है
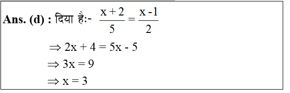
.
नीचे दी गई कविता की पंक्तियों को पढ़कर सबसे उचित विकल्प का चयन कीजिए। (25-30) हमें मिली आ़जादी वीर शहीदों के बलिदान से, आ़जादी के लिए हमारी लंबी चली लड़ाई थी। लाखों लोगों ने प्राणों से कीमत बड़ी चुकाई थी, हमकों आपस में लड़वाने की नीति अपनाई थी। हमने अपना गौरव पाया, अपने स्वाभिमान से हमें मिली आ़जादी वीर शहीदों के बलिदान से। कविता में किस ‘छल’ की बात की गई है?
प्रशासनिक सुविधा के लिए उत्तर प्रदेश में कितने शहरी निकाय हैं?
In a certain coded language "ARCHITECT" has been written as 32051011227522. Then in same language "MANAGER" would be written as.
केंद्रीय पृथ्वी विज्ञान मंत्री डॉ. जितेंद्र सिंह ने गोवा में किस संस्थान में "सागर भवन" और "पोलर भवन" का उद्घाटन किया?
ब्राह्मण’ पत्रिका के सम्पादक थे-
Explanations:
Download our app to know more Lorem ipsum dolor sit amet consectetur adipisicing elit. Excepturi, esse.
Unlocking possibilities: Login required for a world of personalized experiences.