In a compass surveying, if the whole circle bearing of a line is 237⁰ 45', then its quadrantal bearing is:
Which of the following types of lamps takes time to achieve full brightness after being turned on? निम्नलिखित में से किस प्रकार के लैंप को चालू होने के बाद पूर्ण चमक प्राप्त करने में समय लगता है?
‘प्रत्युत्पन्न’ शब्द में प्रयुक्त उपसर्ग है
भारत ने किस अंतर्राष्ट्रीय संगठन के साथ जलवायु परिवर्तन पर साझेदारी की है?
एक प्रश्न और उसके बाद तीन कथन - I, II और III दिए गए हैं। बताएं कि कौन से कथन प्रश्न का उत्तर देने के लिए पर्याप्त हैं? प्रश्न: इनमें से किसने कक्षा में प्रथम स्थान प्राप्त किया? कथन: I. श्रीजा ने दूसरा स्थान प्राप्त किया। II. अमन का स्थान, श्रीजा से एक स्थान नीचे है। III. रोहित का स्थान अमन से ऊपर/बेहतर है।
एक धनराशि को वार्षिक साधारण ब्याज की एक निश्चित दर पर 4 वर्ष के लिए निवेशित किया गया। यदि वार्षिक साधारण ब्याज दर 2% अधिक होती तो इन 4 वर्षों में निवेशित धनराशि पर ₹640 अधिक ब्याज मिला होता। निवेशित धनराशि (₹में) कितनी थी?
Which is the shortcut key for 'Save As' option in MS-Word 2019? एम.एस.वर्ड (MS-Word) 2019 में ‘सेव ए़ज’ विकल्प की शॉर्टकट कुंजी कौन सी है?
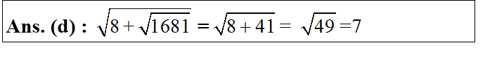
.
In Lok Sabha the total number of members from states is
किस वर्ष में चयनित उम्मीदवारों की संख्या का, उत्तीर्ण उम्मीदवारों की संख्या से अनुपात अधिकतम था?
Explanations:
Download our app to know more Lorem ipsum dolor sit amet consectetur adipisicing elit. Excepturi, esse.
Unlocking possibilities: Login required for a world of personalized experiences.