BIOS is a……….. I. non-volatile firmware II. Volatile firmware III. Software stored on a small memory chip on motherboard
Which of the following bolts are used for light structures under static loads?
बौद्ध धर्म की नींव __________ महान सच्चाइयों एवं ___________ अंगीय पथ पर आधारित हैं।
निम्नलिखित अवतरण को ध्यानपूर्वक पढि़ए और पूछे गए प्रश्नों के सही विकल्प चुनकर उत्तर-पत्रक में चिह्नित कीजिए। संकटों से वीर घबराते नहीं, आपदाएँ देख छिप जाते नहीं। लग गए जिस काम में पूरा किया, काम करके व्यर्थ पछताते नहीं।। कठिन पथ को देख मुस्कुराते सदा, संकटों के बीच वे गाते सदा। है असंभव कुछ नहीं उनके लिए, सरल-संभव कर दिखाते वे सदा।। Q. पद्यांश के लिए उपयुक्त शीर्षक है
द्रिक पंचांग के अनुसार महाशिवरात्रि कब मनाई जाती है?
भारत में किसके चुनाव में आरक्षित स्थानों को चक्रानुक्रम से भरे जाने का प्रावधान किया गया हैै।
On which scale the turbidty is measured?
Which of the following services allows internet users to talk across the internet to any PC, equipped to receive the call? निम्नलिखित में से कौन-सी सेवा इंटरनेट उपयोग -कर्ताओं को कॉल प्राप्त करने के लिए सुसज्जित किसी भी पीसी से इंटरनेट पर बात करने की अनुमति देती है।
The International Booker Prize, 2023 has been awarded to अंतर्राष्ट्रीय बुकर पुरस्कार, 2023 दिया गया है
The total number of Rajya Sabha seats from Uttar Pradesh at-present is
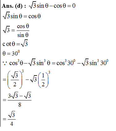
Explanations:
Download our app to know more Lorem ipsum dolor sit amet consectetur adipisicing elit. Excepturi, esse.
Unlocking possibilities: Login required for a world of personalized experiences.