The first bunch of bananas has 1/4 more bananas than the second. If there are less than 5 bananas in the first bunch, then count the number of bananas in the first bunch.
.
Which precaution is to be observed while cutting threads in G.I pipe? G.I पाइप में चूड़ी काटते समय कौन सी सावधानी बरती जानी चाहिए?
Which of the following is not a part of kitchen?
The total surface area of a solid cube is 4.86 m². It is melted and recast into a right circular cylinder of radius 0.3m. What is the height (in meter correct to one decimal place) of the cylinder ?
A cyclist covers a distance of 900 m in 2 min 30 sec. What is the speed in km/hr of the cyclist?/एक साइकिल चालक 900 मीटर की दूरी 2 मिनट 30 सेकंड में तय करता है। साइकिल चालक की किमी/ घंटा में गति कितनी है?
जैन चित्रकला कहलाती है :
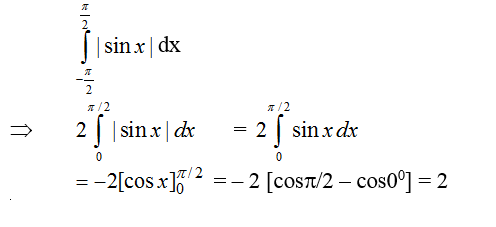
Explanations:
Download our app to know more Lorem ipsum dolor sit amet consectetur adipisicing elit. Excepturi, esse.
Unlocking possibilities: Login required for a world of personalized experiences.