सिल्वर ब्रोमाइड का रंग क्या है?
तीसरे वर्ल्ड फ़ूड इंडिया 2024 का आयोजन कहां किया गया?
केन्द्रीय प्रवृत्ति और विसर्जन के निम्नलिखित माप अनोवा (ए एन ओ वी ए) में उपयोग किए जाते हैं:
1 coulomb/1s = ?
Which of the following features of a computer determines the capacity of CPU to identify different memory locations? कंप्यूटर का निम्नलिखित में से कौन-सा फीचर विभिन्न मेमोरी स्थानों की पहचान करने के लिए CPU की क्षमता निर्धारित करता है?
Select the correct passive form of the given sentence. The artist played the violin.
Padayani is the folk dance of which state?
When was Ireland forcibly incorporated into United Kingdom ? आयरलैण्ड को जबरदस्ती यूनाइटेड किंगडम में कब मिलाया गया?
'ग्लोबल फिशरीज कॉन्फ्रेंस इंडिया' 2023 का आयोजन कहा किया जा रहा है?
Select the option that is related to the third word in the same way as the second word is related to the first word. King : Palace :: Lion : ?
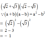
Explanations:
Download our app to know more Lorem ipsum dolor sit amet consectetur adipisicing elit. Excepturi, esse.
Unlocking possibilities: Login required for a world of personalized experiences.