,
ओलंपिक रिंग पहली बार सार्वजनिक रूप से ––––– में प्रस्तुत किए गए थे।
.
In PERT (Programme evaluation and review technique), the weightage factor for most likely time while calculating the expected time is : PERT (कार्यक्रम मूल्यांकन और पुनरीक्षण तकनीक) में सर्वाधिक सम्भावित समय की गणना करते समय सर्वाधिक मूल्यांकन समय के लिये वेटेज कारक है :
From which of the following constitutions the 'Principles of Liberty, Equality and Fraternity' were adopted in the Indian Constitution?
If the average bending stress is 6 kg/cm² for M- 150 grade concrete, the length of embedment of a bar of diameter d according to I.S. 456 specifications is
Canal system will lead flow at water in following sequence, नहर प्रणाली में जल के प्रवाह का सही क्रम होगा।
Which of the following is not a type of compression member?/निम्नलिखित में से कौन-सा एक संपीडन उपांग का प्रकार नहीं है।
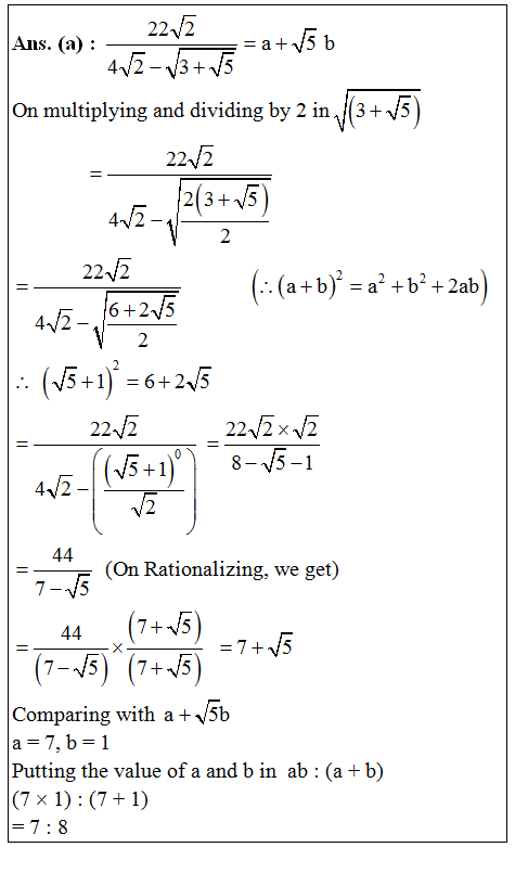
Explanations:
Download our app to know more Lorem ipsum dolor sit amet consectetur adipisicing elit. Excepturi, esse.
Unlocking possibilities: Login required for a world of personalized experiences.