Consider the given statements and decide which of the given assumptions is/are implicit in the statement. Statement: 'Besides Cricket, Indian Government should also promote other games". Assumptions: I. Cricket is world's most famous game. II. Cricket receives the maximum support from the Indian government
मिस इंडिया वर्ल्डवाइड 2024 टाइटल किसने जीता?
The concept of directive principles in Indian constitution has been taken from
अक्षरों RBAE में से प्रत्येक को प्रत्येक शब्द में केवल एक बार प्रयोग कर कितने सार्थक अंग्रेजी शब्द बनाए जा सकते हैं?
Current of water is produced in Branchiostoma by ब्राकियोस्टोमा में जल की धारा उत्पन्न होती है
Radhika has 2 dogs, 3 rabbits and 4 parrots as pets. What will be the ratio of the number of rabbits that Radhika has to the total number of pets?
‘‘जनसंख्या के सिद्धांतों पर एक निबंध’’-----द्वारा लिखा गया।
What should come in place of the question mark (?) in the given series? 96, 104, 112, ?, 128, 136
In a barrage, the crest level is kept - एक बैराज में, शिखर तल रखा जाता है–
The following sentence has been split into four segments. Identify the segment that contains a grammatical error. The teacher was / taken back by / the audacity of / the new student. A B C D
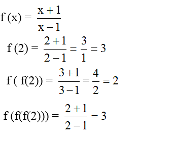
Explanations:
Download our app to know more Lorem ipsum dolor sit amet consectetur adipisicing elit. Excepturi, esse.
Unlocking possibilities: Login required for a world of personalized experiences.