अर्थशास्र में कौन-सा सिद्धांत यह प्रतिपादित करता है कि कोई देश वही निर्यात करता है जिसका वह कुशलतापूर्वक और बहुतायत में उत्पादन करता है?
17 अप्रैल 2015 को कौन सा दिन था?
A person sold two items selling each for `42600. On the first item, he made a loss of 25%, while on the second, he gained 20%. Find his over all percentage gain or loss. (giving your answer correct to one place of decimal.)
चौबीसवें जैन तीर्थंकर का नाम क्या था ?
यूएस ओपन 2024 चैंपियनशिप ट्रॉफी का महिला एकल ख़िताब किसने जीता?
The Sanskrit word ‘varna’ means
डस्टिन, माइक का बेटा है। विल, बॉब के बेटे का नाम है। बॉब के पिता का बेटा एलेक्स, माइक का भाई है। डस्टिन का विल से क्या संबंध है ?
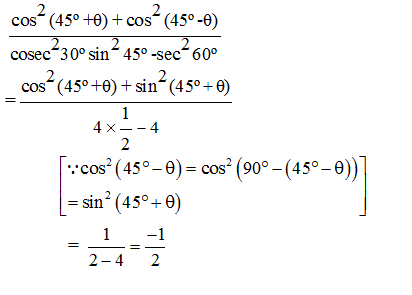
.
If a : b = 3 : 5 , b : c = 7 : 8 and c : d = 2 : 3, then 2a : 3d is equal to:
What does the abbreviation PIL stand for? PIL का पूर्ण रूप क्या है?
Explanations:
Download our app to know more Lorem ipsum dolor sit amet consectetur adipisicing elit. Excepturi, esse.
Unlocking possibilities: Login required for a world of personalized experiences.