Who was the first one to propose a model for the structure of an atom? परमाणु की संरचना के लिए एक मॉडल प्रस्तावित करने वाले पहले व्यक्ति कौन थे?
Which reference to online financial transaction what is the full form of AEPS? ऑनलाइन वित्तीय लेनदेन के संदर्भ में AEPS का पूर्ण रूप क्या है?
If the ratio of radii of two balls be 2:1 then ratio of their terminal volcities
जैन धर्म का तीर्थ स्थल-पालीताणा मंदिर निम्न में से किस राज्य में स्थित है?
Every material obeys the Hook's law within its
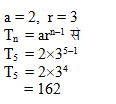
.
यदि एक व्यक्ति 12 km/hr के स्थान पर 18 km/hr की चाल से चलता, तो वह 24 kmअधिक चलता है। उसके द्वारा तय की गई वास्ततिक दूरी कितनी है?
Who among the following sit on the throne of the Mughal dynasty in India after Akbar?
A, B, & C finish a certain piece of work in 45, 36 and 60 days respectively. All of them started the work together but after 6 days A & B left the job C will finish the remaining work in how many days?/
Explanations:
Download our app to know more Lorem ipsum dolor sit amet consectetur adipisicing elit. Excepturi, esse.
Unlocking possibilities: Login required for a world of personalized experiences.