Two thin lenses of focal lengths +60 cm and –20 cm are put in contact. The focal length of the combination will be दो पतले लेंस जिनकी फोकस दूरियाँ क्रमशः +60 सेमी व –20 सेमी हैं, संपर्क में रखे हैं। संयुग्म की फोकस दूरी होगी
निम्नलिखित में से कौन-सी गैस चूने के पानी को दुधिया बना देती है?
सिपरी की रिपोर्ट के अनुसार, 2019-2023 के बीच दुनिया का शीर्ष हथियार आयातक देश कौन है?
The one-time incentive provided to consumers purchasing electric two wheelers under the Uttar Pradesh Electric Vedicle Manufacturing and Mobility Policy, 2022 is a purchase subsidy of ________ of ex-factory cost, up to ________ per vehicle.
The phenomenon of reductions in the amount of ozone in the stratosphere is known as.
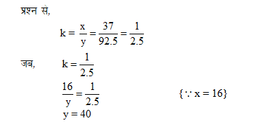
.
धारा की चाल4 km/h है। एक नाव धारा की दिशा में 40 km और धारा की विपरीत दिशा में 12 km की दूरी 4 घंटे में तय कर सकती है। शांत जल में नाव की चाल (km/h में) ज्ञात कीजिए
यदि आपतित किरण ........... तो परावर्तित किरण मुख्य फोकस से होकर गुजरेगी।
State true or false with regard to the below two statements. I. SRAM stands for Short Random Access Memory. II. DRAM stands for Double Random Access Memory.
Replace the underlined words with a phrasal verb. Choose the correct one from the following : “Did you refuse the offer.”
Explanations:
Download our app to know more Lorem ipsum dolor sit amet consectetur adipisicing elit. Excepturi, esse.
Unlocking possibilities: Login required for a world of personalized experiences.