‘जो अचानक आँखों से ओझल हो गया हो’-इन अनेक शब्दों के लिए एक शुद्ध शब्द है–
निम्नलिखित में से कौन एक द्वितीयक प्रदूषक नहीं है।
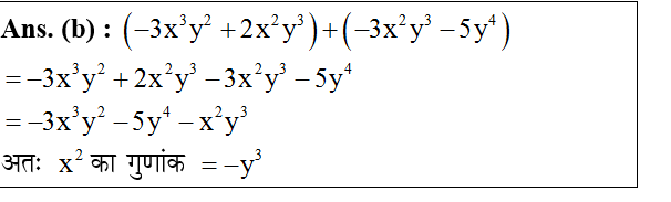
.
Which one of the following is types of intercellular junction in animal cells प्राणी कोशिकाओं में निम्न में से कौन सा अंतर्कोेशिकीय संधि का प्रकार है
In the given sentence, identify the segment which contains the grammatical error. A panel has been formed to look within the security needs of college students.
प्रतिदीप्ति ट्यूब में प्राय: किस पदार्थ का उपयोग किया जाता है?
Which of the following districts of Madhya Pradesh is also called as Mudwara ? मध्य प्रदेश के निम्नलिखित जिलों में से किसे मुद्वारा कहा जाता है ?
In what ratio should tea costing Rs 300 / kg be mixed with tea costing Rs 200/kg so that the cost of the mixture is Rs 225/kg?
Explanations:
Download our app to know more Lorem ipsum dolor sit amet consectetur adipisicing elit. Excepturi, esse.
Unlocking possibilities: Login required for a world of personalized experiences.