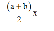
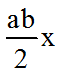
Q: ∆ABC and ∆DBC are on the same base BC but on opposite sides of it. AD and BC intersect each other at O. If AO = a cm, DO = b cm and the area of ∆ABC = x cm², then what is the area (in cm²) of ∆DBC ?
A.
B.
C.
D.
Correct Answer:
Option D -
Explanations:
Download Our App
Download our app to know more Lorem ipsum dolor sit amet consectetur adipisicing elit.
Excepturi, esse.
YOU ARE NOT LOGIN
Unlocking possibilities: Login required for a world of personalized
experiences.