Q: Consider the motion of a point on a circular trajectory. The acceleration in a linear motion (a) and the acceleration in angular motion (α), are related as : (Take r as the radius of circular trajectory) वृत्ताकर पथ पर किसी बिन्दु की गति पर विचार करें। एक रेखीय गति में त्वरण (a) और कोणीय गति में त्वरण (α) के रूप में संंबंधित है। (वृत्ताकार प्रक्षेप वक्र की त्रिज्या r के रूप में लेने पर)
A.
B.
C.
D.
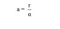
Correct Answer:
Option A -
Explanations:
Download Our App
Download our app to know more Lorem ipsum dolor sit amet consectetur adipisicing elit.
Excepturi, esse.
YOU ARE NOT LOGIN
Unlocking possibilities: Login required for a world of personalized
experiences.