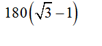
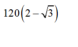
Q: एक मीनार की ऊँचाई 120 मीटर है। बिन्दु B से मीनार की चोटी का उन्नयन कोण 75⁰ है। बिन्दु B जमीन की सतह पर है। मीनार के आधार से बिन्दु B की दूरी (मीटर में) क्या है?
A.
B.
C.
D.
Correct Answer:
Option A -
Explanations:
Download Our App
Download our app to know more Lorem ipsum dolor sit amet consectetur adipisicing elit.
Excepturi, esse.
YOU ARE NOT LOGIN
Unlocking possibilities: Login required for a world of personalized
experiences.