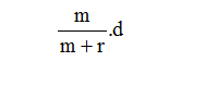
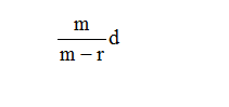
Q: If in a concrete beam the modular ratio is m, ratio of stress in steel to concrete is r, overall depth of beam is d, then the depth of critical N.A. of beam is
A.
B.
C.
D.
Correct Answer:
Option A -
Explanations:
Download Our App
Download our app to know more Lorem ipsum dolor sit amet consectetur adipisicing elit.
Excepturi, esse.
YOU ARE NOT LOGIN
Unlocking possibilities: Login required for a world of personalized
experiences.