What is the characteristic of a master slave flip-flop? एक मास्टर स्लेव फ्लिप-फ्लाप की विशेषताएँ क्या हैं?
Which of the following states had the highest per capita income for the year 2019-2020?
नागरिक घोषणा-पत्र का उद्देश्य है।
निर्देश: प्रत्येक प्रश्न में मात्र एक शब्द की वर्तनी शुद्ध है। उसे चिन्हित कीजिए।
‘रामश्चिनोति’ पद का सन्धि-विच्छेद होता है?
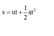
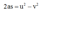
.
Among the following countries, which country has recorded the highest annual gold output (in tonnes) in 2019?/निम्न देशों में से किस देश में 2019 में सालाना सबसे अधिक सोने का उत्पादन (टन में) हुआ?
इनमें से कौन-सी कला उत्तर प्रदेश से संबंधित एक नृत्य नाटक है जिसमें अर्ध-ऐतिहासिक कहानियों और गाथागीतों का प्रदर्शन शामिल है?
रामविलास पासवान ने अपना राजनीतिक सफर किस राजनीतिक दल से प्रारम्भ किया था?
‘‘काहे को परेशान हो रहे हो?’’ –इस वाक्य में किस प्रकार के क्रियाविशेषण का प्रयोग हुआ है?
Explanations:
Download our app to know more Lorem ipsum dolor sit amet consectetur adipisicing elit. Excepturi, esse.
Unlocking possibilities: Login required for a world of personalized experiences.