search
Q: With usual notations the depth of the neutral axis of a balanced section, is given by: सामान्य सकेतनों के साथ, एक सन्तुलित खण्ड के तटस्थ अक्ष की गहराई, को इसके द्वारा दिया जाता है
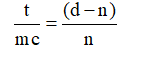
  • A.
    option image
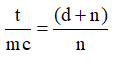
  • B.
    option image
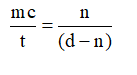
  • C.
    option image
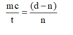
  • D.
    option image
Correct Answer: Option D -
answer image

Explanations:

explanation image