महाराष्ट्र की पहली महिला मुख्य सचिव के रूप में किसने पदभार ग्रहण किया है?
एक घन की भुजा (मीटर में) क्या होगी, जिसमें अधिकतम 10 मीटर लंबाई की लोहे की छड़ रखी जा सकती है?
The following are the natural of contraception except: निम्नलिखित को छोड़कर गर्भनिरोधक की प्राकृतिक विधि है
The type of covering in an electrode indicated by the letter RR is- RR अक्षर द्वारा इंगित, इलेक्ट्रोड में कवरिंग का प्रकार ................. होता है।
.
A carbohydrate that cannot be digested by humans is मानव द्वारा कभी भी पाचन नही होनेवाला कार्बोहाइड्रेट है
A six-digit number 4ABB8A is a multiple of 33 for non-zero digits A and B. Which of the following could be the possible values of A and B?
Specific volume and mass density is– विशिष्ट आयतन और द्रव्यमान घनत्व है–
द्विगु समास का उदाहरण है
When an object is viewed from different directions and from different distances, the appearance of the object will be different. Such a view is called______. जब किसी वस्तु को अलग-अलग दिशाओं और अलग-अलग दूरियों पर देखा जाता है, तो वस्तु की दिखावट अलग-अलग होगी। ऐसे दृश्य को क्या कहा जाता है–
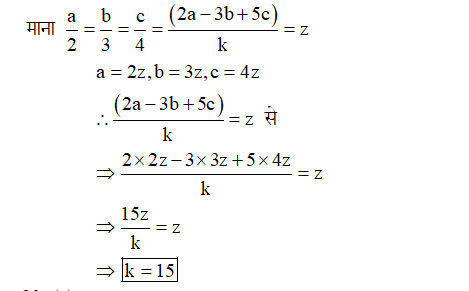
Explanations:
Download our app to know more Lorem ipsum dolor sit amet consectetur adipisicing elit. Excepturi, esse.
Unlocking possibilities: Login required for a world of personalized experiences.